전기전공자가 취득할 수 있는 자격증으로는 발송배전 및 건축전기기술사 등이 있습니다.
여러 기술사 문제 중에서 전동기의 최대용량에 대해서 살펴보겠습니다.
87회 4교시 5번 기출문제로 전동기 직입기동의 용량에 대해 알아보겠습니다.
전동기 최대용량
#문제
용량 $1000 [kVA]$, 자기 임피던스가 $5$% 인 3상 변압기에 $800 [kVA]$의 저항부하[역률 $100$%]가 연결되어 있다. 전동기 기동시에 이 변압기 2차 모선의 전압변동률을 $10$% 이내로 유지하려면 전동기를 직입기동으로 최대용량은 얼마까지 가능한지 계산하시오.
여기서, 전동기 기동역률 $25$%, 기동계급 F급 $7.0 [kVA/kW]$, 변압기 전원 측 임피던스는 $0$이고 선로임피던스는 무시하고 임피던스의 저항분은 무시한다.
#풀이
1. 계산조건
1) 변압기 용량 : $1,000 [kVA]$, %$Z$ = $5$%
2) 변압기 2차 모선의 전압 변동률 : $10$%
3) 기저부하 : $800 [kVA]$
4) 기동역률 : $25$%, 기동계급 : $7 [kVA/kW]$
2. 용량계산
1) 변압기의 %$Z$
%$Z = \frac{I_{N}Z_{T}}{V} \times 100$ [%]
2) %$Z$가 $5$% 인 변압기에 $10$% 전압변동률이 생긴다는 것은 1)식에서 전류가 정격전류의 2배가 됩니다.
3) 즉, 이 순가 변압기에 걸리는 부하는
$W = \sqrt{3}VI = \sqrt{3}V(2I) = 1,000 \times 2 = 2,000 [kVA]$
4) 전동기 용량은 $M [kW]$라고 하면 기동계급이 F급으로 $7 [kVA/kW]$, 전동기 기동용량은 $7M [kVA]$가 됩니다.
5) 기동시 유효 및 무효전력은 기동역률이 $25$% 이므로
① 유효전력 : $P = 7.0M [kVA] \times cos \theta = 7.0M \times 0.25 = 1.75M [kW]$
② 무효전력 : $Q = 7.0M [kVA] \times sin \theta = 7.0M \times 0.968 = 6.78M [kVar]$
6) 기저부하와 전동기 기동용량의 합이 기동시의 피상전력이 됩니다.
$P + jQ = (800 + 1.75M) + j6.78M = 2,000 [kVA]$
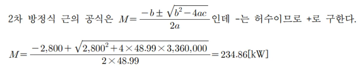
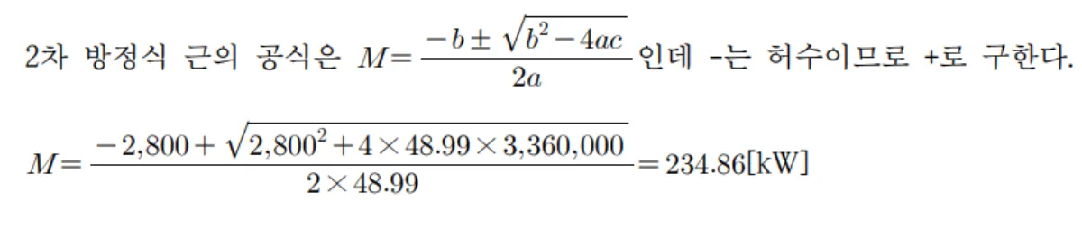
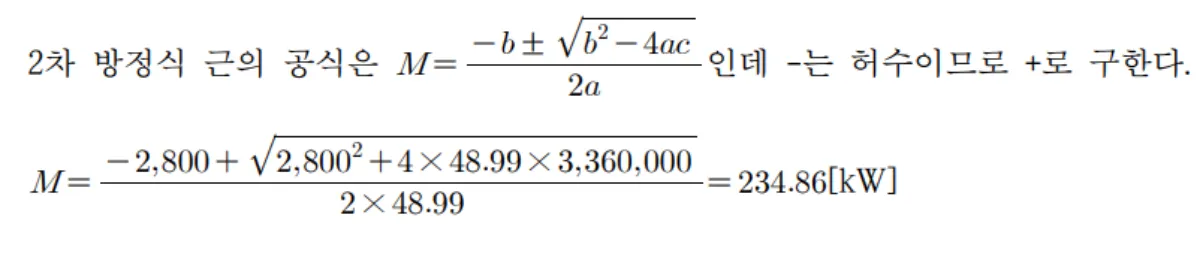
7) 식의 양변을 제곱해서 2차 방정식의 근의 공식을 이용하여 $M$을 구하면
$800^{2} + (2 \times 800 \times 1.75M) + 1.75^{2}M^{2} + 6.78^{2}M^{2} = 2,000^{2}$
$640,000 + 2,800M + 48.99M^{2} = 4,000,000$
$48.99M^{2} + 2,800M - 3,360,000 = 0$

전동기의 최대용량은 $234.86 [kW]$입니다.
2025.04.10 - [전기/자격증] - 발송배전 및 건축전기 기술사 문제 | 주파수 유효전력 제어
발송배전 및 건축전기 기술사 문제 | 주파수 유효전력 제어
전기전공자가 취득할 수 있는 자격증으로는 발송배전 및 건축전기기술사 등이 있습니다.기술사 문제 중에서 주파수 유효전력 제어와 관련된 문제입니다.92회 4교시 1번 기출문제로 계통주파수
lifeinfo5.com
'전기 > 자격증' 카테고리의 다른 글
| 발송배전 및 건축전기 기술사 문제 | PT, CT 및 MOF 설명 (0) | 2025.04.15 |
|---|---|
| 발송배전 및 건축전기 기술사 문제 | 주파수 유효전력 제어 (0) | 2025.04.10 |
| 발송배전 및 건축전기 기술사 문제 | 변압기 1차 및 2차측 전류 (0) | 2025.04.03 |
| 발송배전 및 건축전기 기술사 문제 | 변압기 병렬운전 조건 (0) | 2025.03.26 |
| 발송배전 및 건축전기 기술사 문제 | R과 L의 병렬회로 소비전력 (1) | 2024.12.10 |
댓글