반응형
전기전공자가 취득할 수 있는 자격증으로는 발송배전 및 건축전기기술사 등이 있습니다.
다양한 과목의 기술사 문제 중에서 회로이론에 대해서 살펴보겠습니다.
92회 1교시 13번 기출문제로 R과 L 병렬회로의 소비전력에 대해 알아보겠습니다.
R과 L 병렬회로의 소비전력
#문제
다음의 회로에 $i = I_{m1}sin \omega t + I_{m5} sin(5 \omega t + \theta_{5})$가 흐를때 소비전력을 구하시오.

#풀이
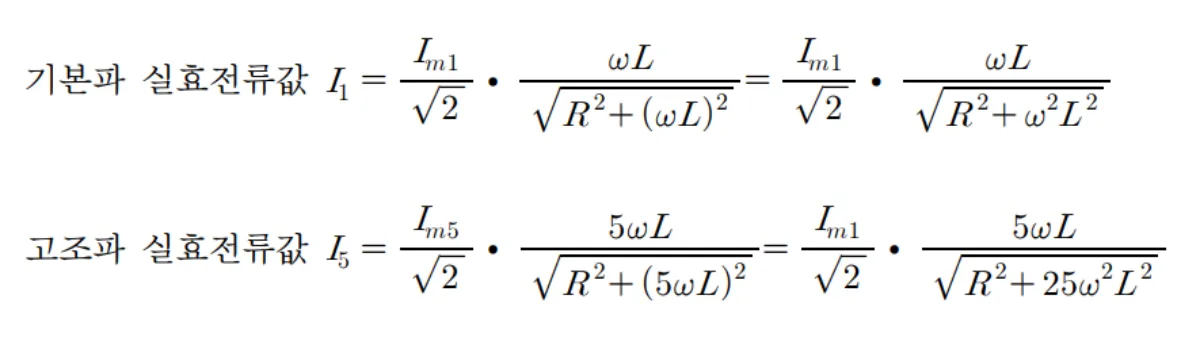
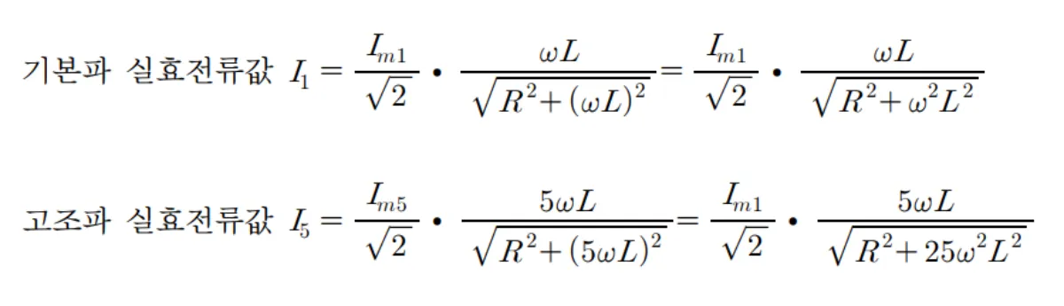
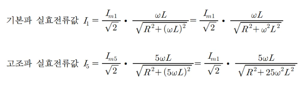
1. 전류
기본파 및 고조파 실효전류값은 다음과 같습니다.

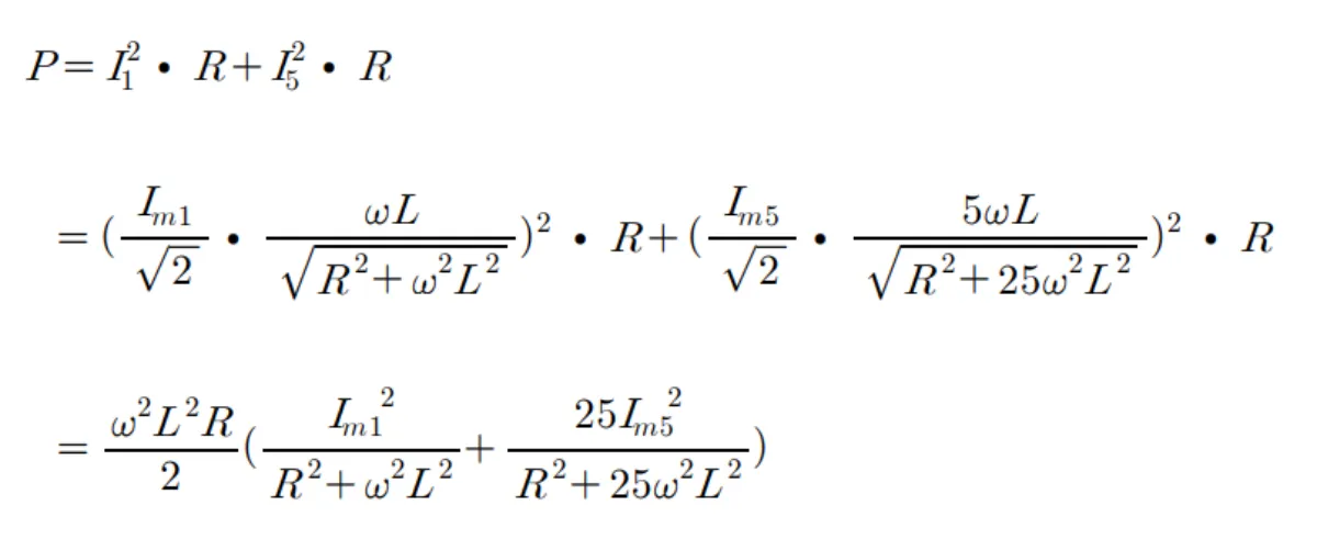
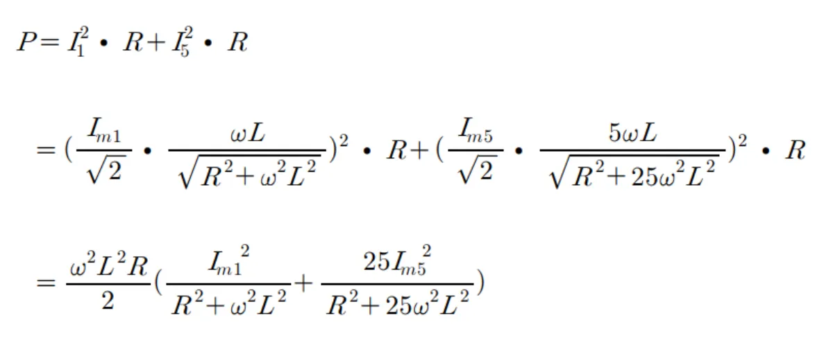
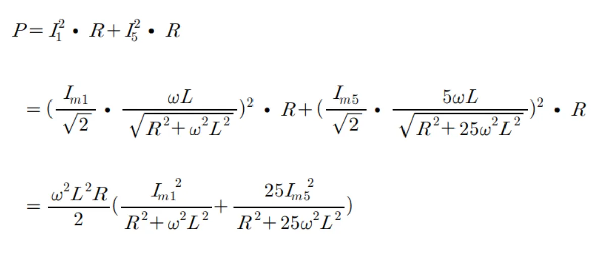
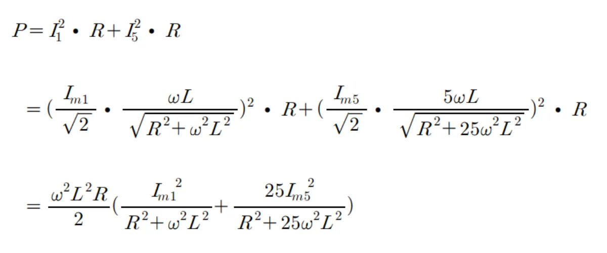
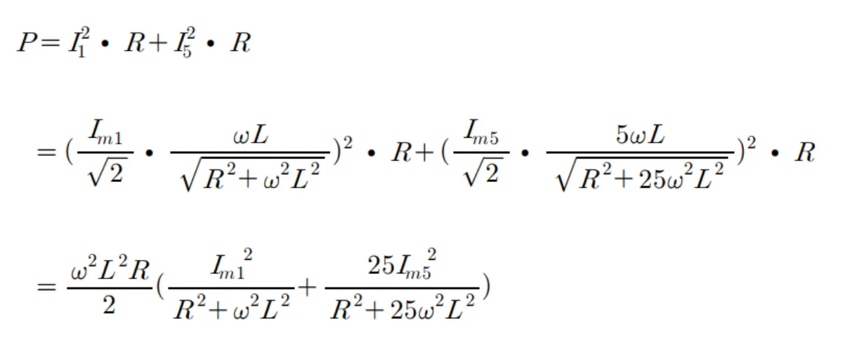
2. 소비전력
회로에 흐르는 소비전력은 다음과 같습니다.

2024.07.10 - [전기/자격증] - 발송배전 및 건축전기 기술사 문제 | 회로이론, 계기용 변압기 공진회로
발송배전 및 건축전기 기술사 문제 | 회로이론, 계기용 변압기 공진회로
전기전공자가 취득할 수 있는 자격증으로는 발송배전 및 건축전기기술사 등이 있습니다.여러 기술사 문제 중에서 회로이론에 대해서 살펴보겠습니다.계기용 변압기의 공진회로 등가회로 및 전
lifeinfo5.com
반응형
'전기 > 자격증' 카테고리의 다른 글
| 발송배전 및 건축전기 기술사 문제 | 변압기 1차 및 2차측 전류 (0) | 2025.04.03 |
|---|---|
| 발송배전 및 건축전기 기술사 문제 | 변압기 병렬운전 조건 (0) | 2025.03.26 |
| 발송배전 및 건축전기 기술사 문제 | HVDC 절연레벨 및 송전전력 계산 (0) | 2024.11.28 |
| 발송배전 및 건축전기 기술사 문제 | 피뢰기 제한전압 및 절연협조 (0) | 2024.11.27 |
| 발송배전 및 건축전기 기술사 문제 | 신재생에너지의 종류 (1) | 2024.11.24 |
댓글