전기전공자가 취득할 수 있는 자격증으로는 발송배전 및 건축전기기술사 등이 있습니다.
여러 기술사 문제 중에서 회로이론에 대해서 살펴보겠습니다.
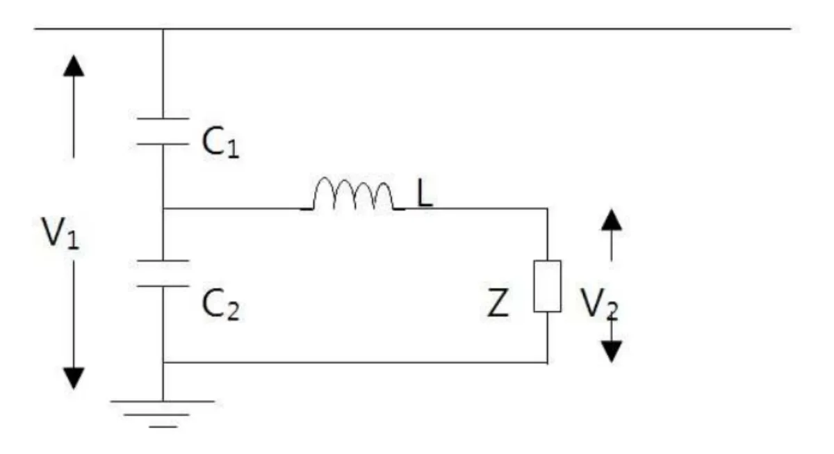
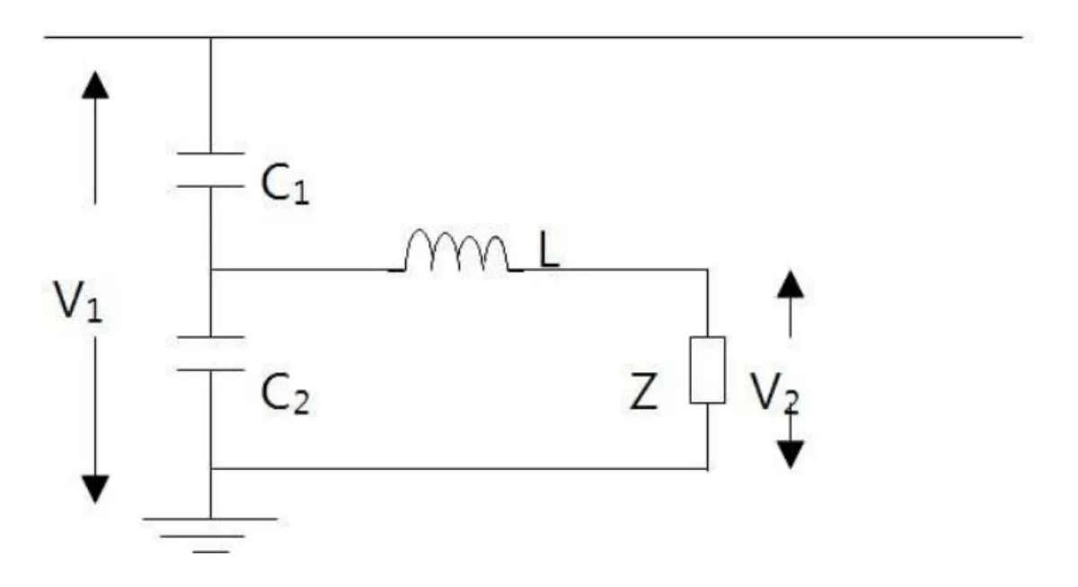
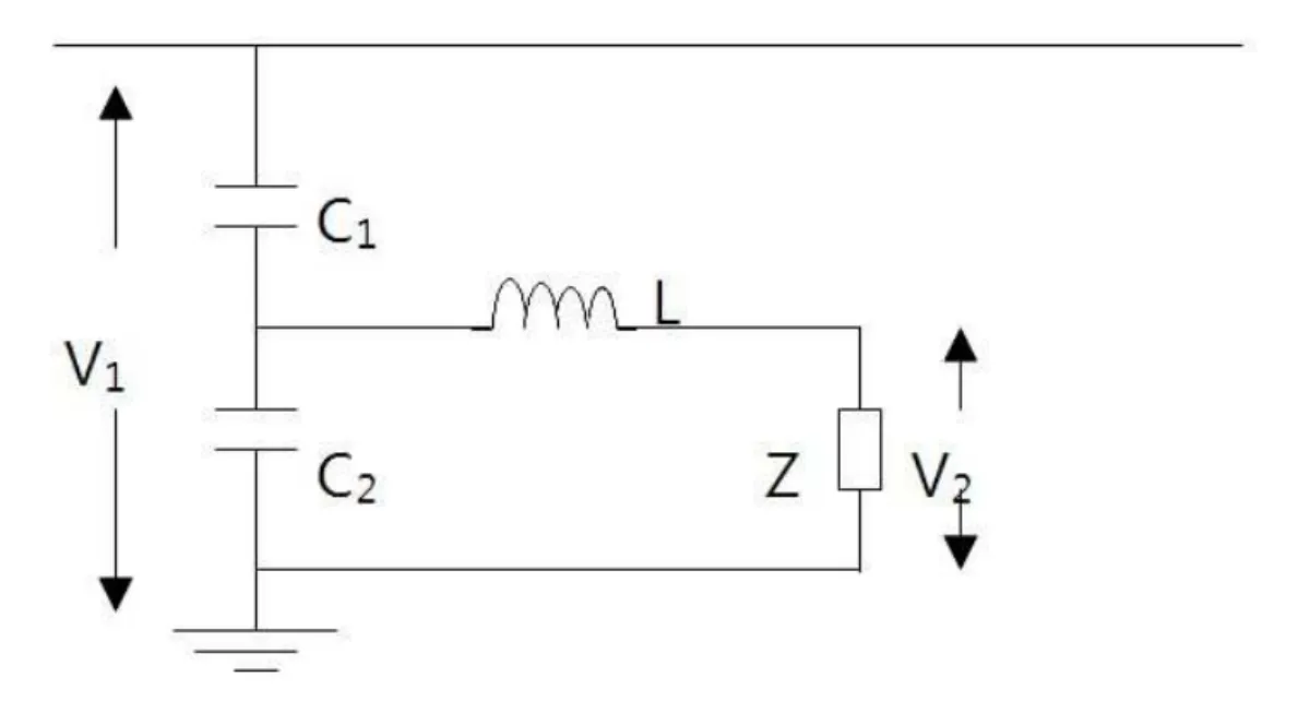
계기용 변압기의 공진회로 등가회로 및 전압비가 일정함을 증명하는 문제입니다.
계기용 변압기, 공진회로
#문제
콘덴서용 계기용 변압기에 있어서 공진회로의 등가회로를 구하시오.
또한, 공진상태에서의 크기와 무관하게 전압비 $V_{1}$과 $V_{2}$가 일정하게 됨을 증명하시오.

#풀이
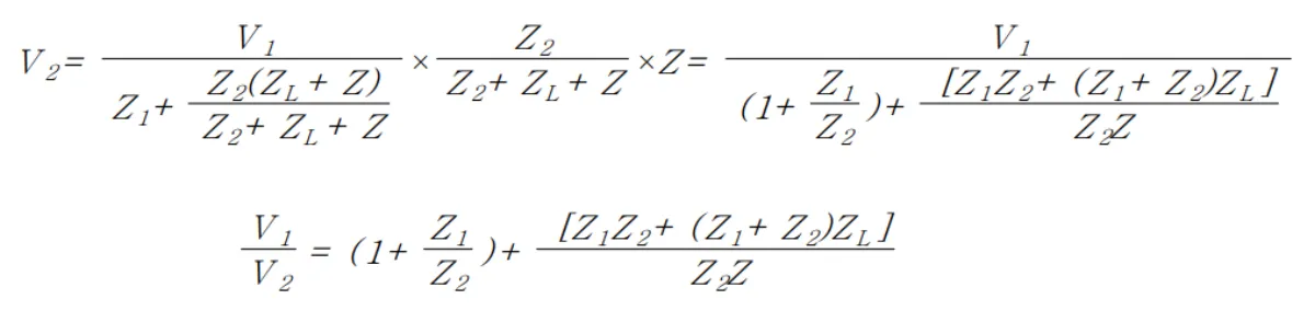
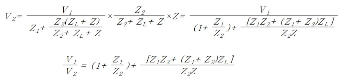
전원주파수 $f$에 대해 $C_{1}$과 $C_{2}$의 병렬 리액턴스와 유도 리액턴스를 공진조건에 대입하면 $V_{1}/V_{2}$는 부하 임피던스와 무관하게 됩니다.
$Z_{1}=-j \frac{1}{ \omega C_{1}}$, $Z_{2}=-j \frac{1}{ \omega C_{2}}$, $Z_{L}=j \omega L$을 정의하면
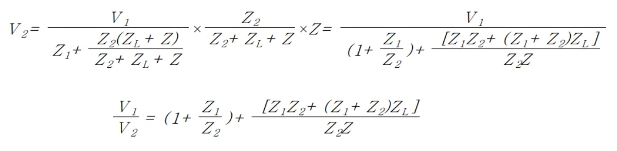
부하전압은 다음과 같이 됩니다.

우변의 제 1항의 값은
$1+ \frac{Z_{1}}{Z_{2}}=1+ \frac{1/j \omega C_{1}}{1/j \omega C_{2}}=1+ \frac{C_{2}}{C_{1}}= \frac{C_{1}+C_{2}}{C_{1}}$
제2항의 분자는

$\omega ^{2}(C_{1} + C_{2})L - 1 = 0$ 이면 $\frac{1}{ \omega ^{2}(C_{1} + C_{2})} = L$
이 조건을 만족하면 제2항의 값은 0이 되므로
$\frac{V_{1}}{V_{2}} = \frac{C_{1} + C_{2}}{C_{1}}$가 되어 $Z$의 값에는 무관하게 됩니다.
즉, 변압비는 부하에는 상관없이 $C_{1}$과 $C_{2}$의 분압비로 주어지며, $V_{1}$과 $V_{2}$의 위상차는 0이 됩니다.
2024.06.25 - [전기/자격증] - 발송배전 및 건축전기 기술사 문제 | CT의 Knee Point Voltage
발송배전 및 건축전기 기술사 문제 | CT의 Knee Point Voltage
전기 관련 자격증 중에 취득하기 가장 어려운 것은 발송배전 및 건축전기 기술사입니다.기술사 문제 중에서 CT의 Knee Point Voltage에 대해 풀이해 보겠습니다. CT의 Knee Point VoltageCT의 Knee Point Voltag
lifeinfo5.com
'전기 > 자격증' 카테고리의 다른 글
| 발송배전 및 건축전기 기술사 문제 | 가변교류송전시스템(FACTS) (1) | 2024.08.27 |
|---|---|
| 발송배전 및 건축전기 기술사 문제 | CT 2차측 개방시 현상 (1) | 2024.08.13 |
| 발송배전 및 건축전기 기술사 문제 | CT의 Knee Point Voltage (2) | 2024.06.25 |
| 발송배전 및 건축전기 기술사 문제 | CT의 과전류 정수와 과전류 강도 (0) | 2024.05.08 |
| 발송배전 및 건축전기 기술사 문제 풀이 | 4단자 정수 (0) | 2024.03.12 |
댓글