국내 전력계통은 고장전류 제한 및 차단을 위해 중성점 접지방식을 채택하고 있습니다.
중성점 접지방식은 전력계통규모에 따라 비접지 또는 직접접지를 사용합니다.
중성점 접지방식에서의 유효접지 개념 및 조건에 대해 살펴보도록 하겠습니다.
핵심요약입니다.
1. 유효접지 ① : 1선 지락고장시 건전상 전위가 상전압 1.3배 이하
2. 유효접지 ② : 1선 지락고장시 건전상 전위가 선간전압 75% 이하
3. 저항접지 : 지락보호 용이, 열적 스트레스 발생
1. 유효접지 개념
유효접지의 개념은 두 개로 나누어 볼 수 있습니다.
#개념 1
전력계통에서 1선 지락고장시 건전상의 전위가 상전압의 1.3배 이하가 되어야 합니다.
이를 위해 중성점 임피던스를 억제한 중성점 직접접지방식을 사용합니다.
- 1선 지락시 건전상의 전위 ≤ 1.3 × 상전압
#개념 2
1선 지락고장시 건전상의 대지전위가 정상시의 선간전압의 75% 이하로 해야 합니다.
이를 위해 중성점 임피던스를 억제한 중성점 직접접지방식을 사용합니다.
- 1선 지락고장시 건전상의 대지전위 ≤ 정상시 선간전압 × 0.75
#유효접지, 154kV
① 154kV의 대지전압 = $\frac{154}{\sqrt{3}} = 88.91 [kV]$
② 대지전압 $\times 1.3 = 88.91 \times 1.3 = 115.58 [kV]$
③ $154 \times 0.75 = 115.5 [kV]$
즉, 154kV 계통에서는 1선 지락시 건전상의 대지전위가 115.5kV 이상으로 상승하지 않도록 접지하면 유효접지가 됩니다.
2. 유효접지 조건
유효접지의 조건에 대해서 알아보겠습니다.
1선 지락고장에 의한 이상전압을 수식을 통해 살펴보겠습니다.
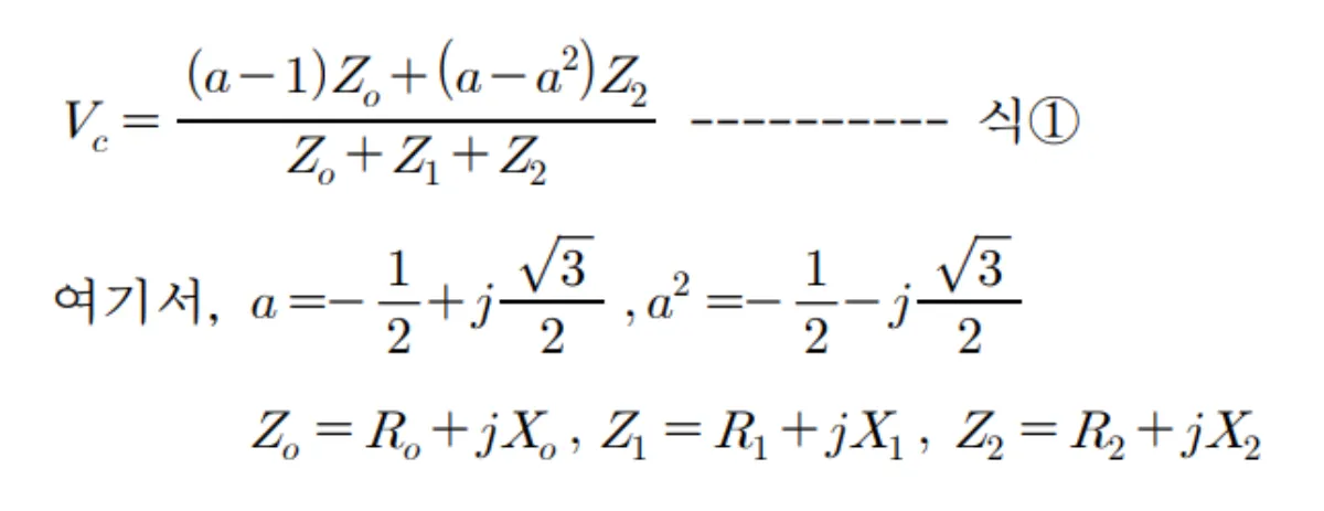
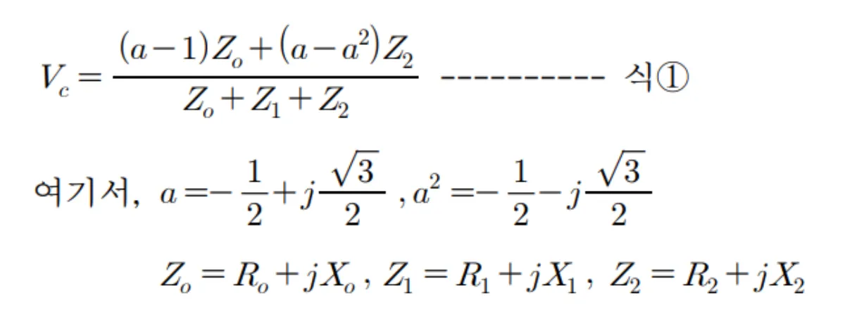
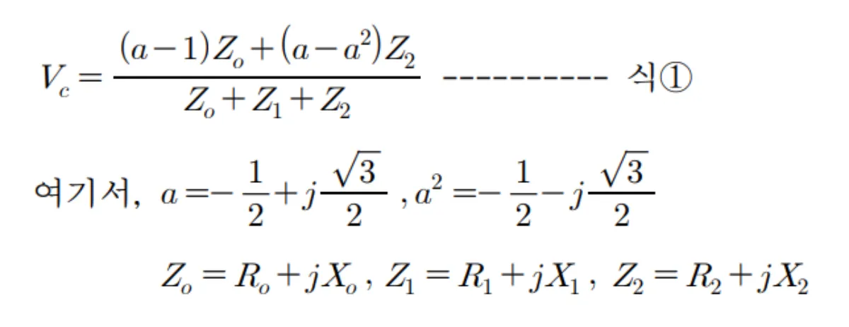
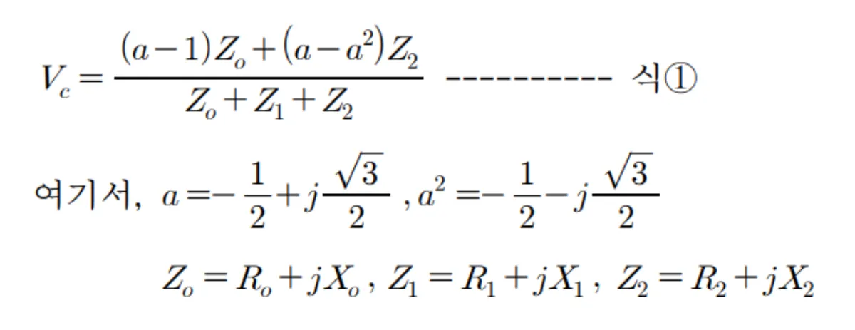
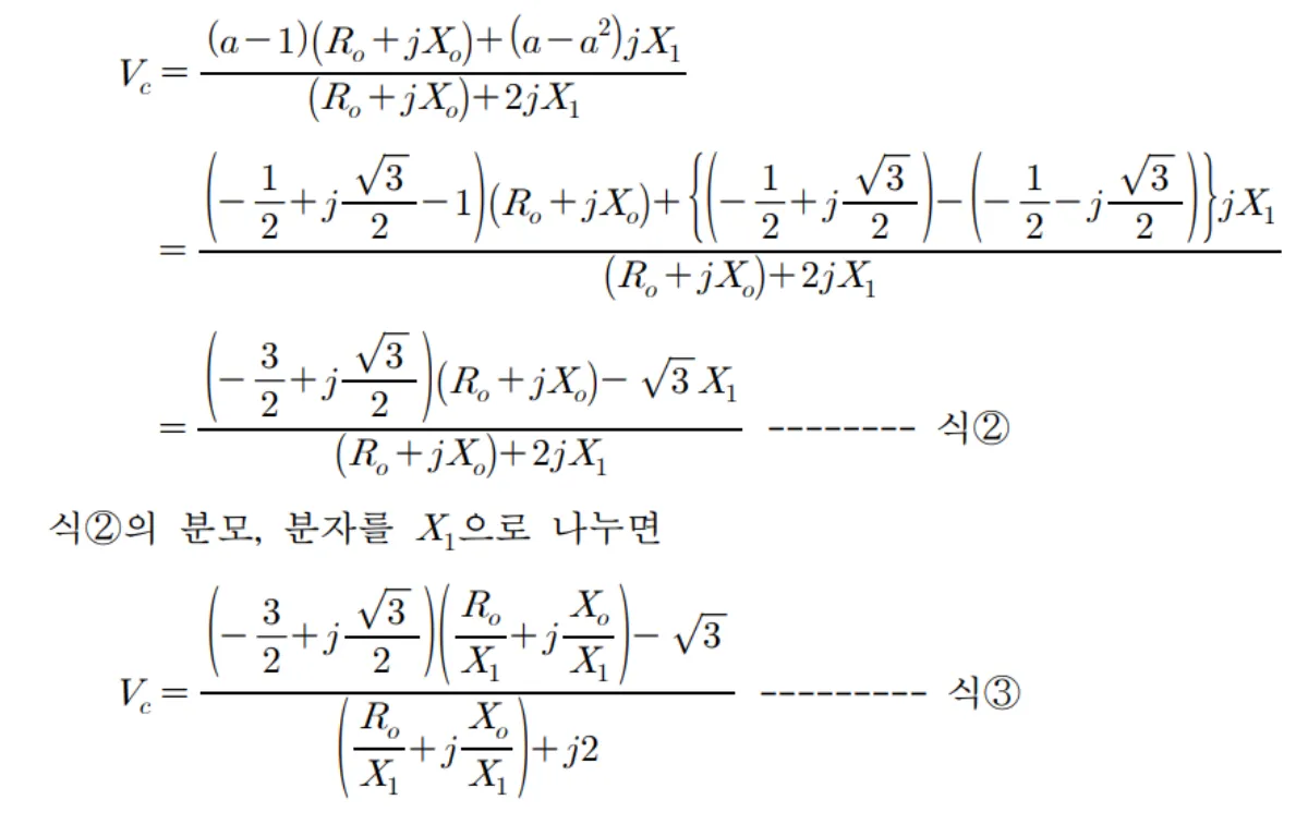
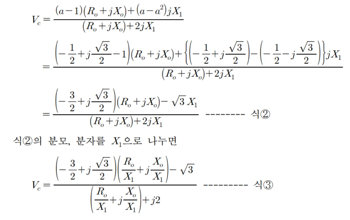
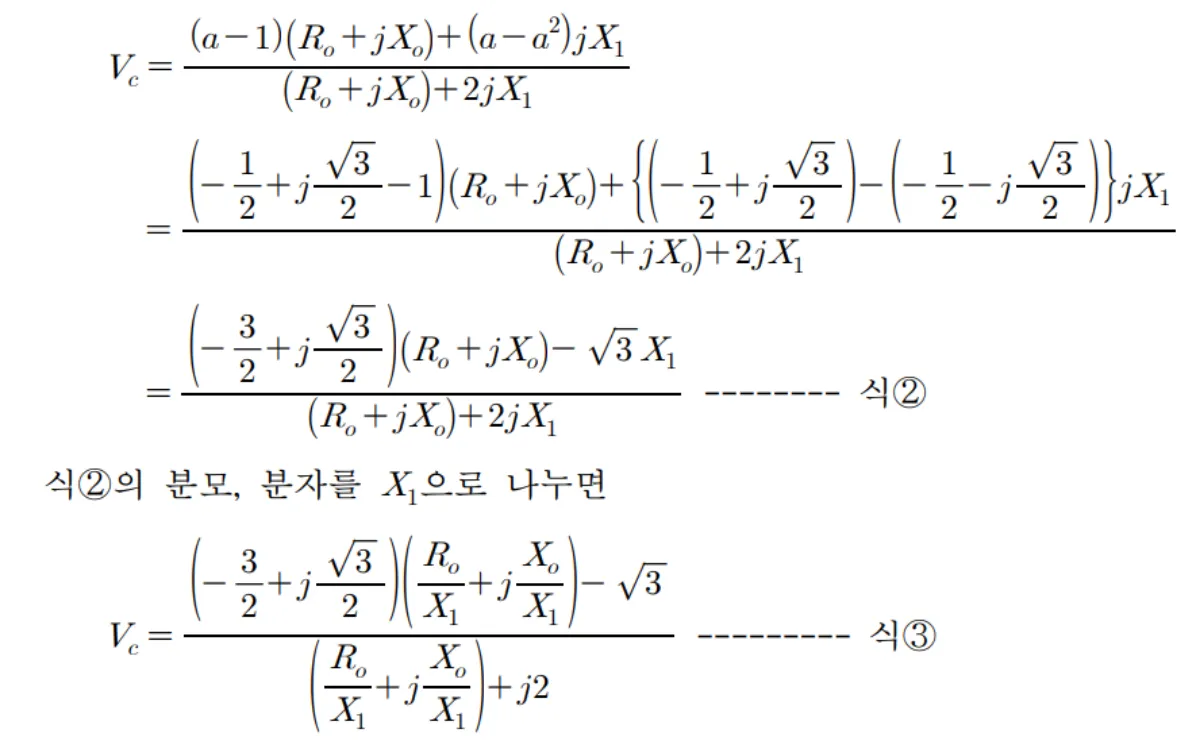
#1선 지락시 이상전압

3상 1회선 선로에서 a상 지락의 경우 건전상인 c상의 대지전위는

송전선로나 변압기 등 정지기에서의 조건은 다음과 같습니다.
$Z_{1} = Z_{2}, R_{1} \ll X_{1}, R_{2} \ll X_{2}$ 이므로
$R_{1} = R_{2} = 0$으로 하면 식 ①은

위 식 ③에서 $\frac{R_{o}}{X_{1}}$의 값을 0 → 0.5 → 1 → 1.5로 단계적으로 증가시키면서 $\frac{X_{o}}{X_{1}}$의 값을 -10에서 +10까지 변화한 그래프는 아래와 같습니다.

위 그래프에서 유효접지 조건은 $\frac{R_{o}}{X_{1}} \leq 1, 0 \leq \frac{X_{o}}{X_{1}} \leq 3$ 을 만족해야 합니다.
#전력계통 유효접지 검토기준
전력계통의 유효접지는 다음의 3가지 조건에 의해 결정됩니다.
- $\frac{R_{o}}{X_{1}} \leq 1, \frac{X_{o}}{X_{1}} \leq 3$
- 3상 단락전류 × 0.6 ≤ 1선 지락전류
- 비접지 중성점의 전위상승 ≤ 상전압 × 85%
2025.01.14 - [전기/이론] - 중성점 접지방식의 종류 및 특징 | 직접, 비접지, 저항접지
중성점 접지방식의 종류 및 특징 | 직접, 비접지, 저항접지
전력계통에서는 고장전류 제한 및 차단 등을 위해 중성점 접지방식을 사용합니다.전력계통의 규모에 따라 비접지 또는 직접접지 등의 방식을 채택하고 있습니다.중성점 접지방식의 종류 및 특
lifeinfo5.com
'전기 > 실무' 카테고리의 다른 글
| 154kV 변압기 무부하 및 부하시 여자돌입전류의 이해 (0) | 2025.01.02 |
|---|---|
| 345kV 변압기 3차측 보호방식 시스템 구성 및 공진 (2) | 2024.12.25 |
| 변압기 고장 경보 종류 및 동작 조건 | 96P, 96D 및 30F2 (0) | 2024.12.22 |
| 배전선로 보호설비 고장구간 자동개폐기(ASS)의 동작시퀀스 (0) | 2024.12.17 |
| 지중송전케이블의 기본 구조 | 도체부, 절연부 및 보호부 (0) | 2024.12.14 |
댓글